Аддитивный метод (метод сложения)

Данный метод позволяет путем простого измерения падения напряжений вдоль трубопровода рассчитать потенциал и поперечный градиент напряжения в каждой точке объекта.

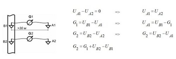
Метод базируется на предположении, что градиент напряжений между двумя электрода-ми, расположенными на нейтральной удаленной земле, равен 0 мВ. Это означает, что при измерении поперечного градиента напряжений положение электрода, находящегося на линии, перпендикулярной к оси трубопровода, не имеет значения до тех пор, пока он находится на нейтральной удаленной земле.

additiv1

Это означает, что поперечный градиент напряжений G2 равен сумме базового поперечного градиента напряжений G1 и разности напряжений UB2-UB1 (падение напряжения вдоль трубопровода). Потенциалы определяются аналогичным способом. Данный метод применяется на трубопроводах с изоляцией, качество которой отвечает ГОСТ Р 51164. При методе сложения измеряются продольные градиенты напряжения с накоплением, с помощью которых можно более точно определить размер и местоположение дефекта.

Эти измерения производят при включенных и выключенных катодных преобразователях. Данными для расчетов являются, так называемые, базовые замеры, которые делаются вначале измерения (выполняются двухэлектродным методом) и затем каждый раз при достижении следующего КИПа.

а) additiv2 б) additiv3

а) базовый замер, б) остальные замеры

После базового замера стационарный электрод остается на месте, а выносной электрод перемещают вдоль оси трубопровода с выбранным шагом измерений.

Стационарный электрод остается на своем месте на время нескольких замеров. При дальнейшем продвижении вперед, между стационарным электродом и измерительным приборомтребуется более длинный кабель, если же длина измерительного кабеля использована полностью, то надо перенести стационарный электрод, чтобы продолжить дальнейшие измерения (причем его надо располагать точно на пункте последнего измерения выносным электродом). Так же переносы стационарного электрода необходимы при каждом базовом замере.

При переносе стационарного электрода программа обработки данных запоминает значения последних измеренных потенциалов и поперечных градиентов напряжения и использует их как базовые значения для сложения измеренных продольных напряжений между стационарным и выносным электродами.

Разность потенциалов «труба-земля» в какой-либо точке (i) трубопровода (Uт-з i) определяется сложением базового измерения этой величины и продольного градиента, измеренного в этой точке:

Uт-з i = Uт-з б + dUi

где:
Uт-з б - базовая разность потенциалов «труба-земля», измеренная у КИПа, В;
dUi - продольный градиент напряжения, измеренный в точке i, В.

Вычисление поперечного градиента напряжения (dUп i) в точке i производится по форму-ле:

dUп i = dUп б + Uт-з i - Uт-з б

где:
dUп i - поперечный градиент напряжения в грунте в i-той точке обследуемого участка трубопровода, В;
dUп б - поперечный градиент напряжения в грунте в базовой точке трубопровода, В.

Вычисление поляризационного потенциала выполняется по формуле:

Uп= Uт-з вкл - (Uт-з выкл - Uт-з вкл) * dUвкл /(dUвыкл - dUвкл)

где:
Uт-з вкл, dUвкл - разность потенциалов «труба-земля» и градиент напряжения в грунте при включенных катодных преобразователях, В;
Uт-з выкл, dUвыкл - то же при выключенных катодных преобразователях, В